• Perfil

Blog de José Félix Rodríguez Antón

~ conocimiento de las cosas

Blog de José Félix Rodríguez Antón

Archivos diarios: febrero 19, 2021

La Orbita de transferencia de Hohmann

19 viernes Feb 2021

Posted by José Félix Rodríguez Antón in CIENCIA

≈ Deja un comentario

Etiquetas

astrodinámica, Hohmann, maniobra, orbita, transferencia elíptica

Walter Hohmann (1880), fue un ingeniero alemán, que descubrió una maniobra eficaz para la transferencia coplanar de un vehículo espacial entre dos órbitas circulares por medio de una órbita de transferencia elíptica, llamada “Orbita de transferencia de Hohmann”.

Entre 1911 y 1915 Hohmann estudió el vuelo espacial interplanetario, publicándolo en el libro “Die Erreichbarkeit der Himmelsköper (La accesibilidad de los cuerpos celestes)”.

Las órbitas de la mayoría de los planetas del sistema solar se encuentran cerca del plano orbital de la Tierra (plano eclíptico).
La forma más eficiente energética para que una nave espacial se transfiera de la órbita de un planeta a otro es usar una elipse de transferencia de Hohmann, desde un planeta 1 a un planeta exterior 2.

La solución original de Hohmann, se obtiene para una transferencia bi-impulsiva entre dos órbitas circulares y coplanares. Es el más usado en maniobras orbitales:
Tiene los siguientes pasos:
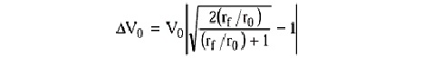
A) En la órbita inicial un impulso con magnitud:

B) El segundo impulso se aplica cuando la nave espacial está en la apoapsis (punto de una órbita elíptica más alejado de su centro gravitatorio).

Bibliografía:

Sabin, Carlos; Investigación y Ciencia,«Entrelazados en el espacio» Agosto 2015
https://www.investigacionyciencia.es/blogs/fisica-y-quimica/85/posts/entrelazados-en-el-espacio-13477

David Edward Bruschi, Carlos Sabín, Angela White, Valentina Baccetti, Daniel K L Oi and Ivette Fuentes; «Testing the effects of gravity and motion on quantum entanglement in space-based experiments»New Journal of Physics, Volume 16, May 2014
https://iopscience.iop.org/article/10.1088/1367-2630/16/5/053041ay

Encyclopaedia Britannica: «Hohmann orbit«
https://www.britannica.com/science/Hohmann-orbit

Estadísticas del sitio

  • 367.872 hits

Introduce tu correo electrónico para suscribirte a este blog y recibir avisos de nuevas entradas.

Únete a otros 205 suscriptores

Entradas recientes

  • BRIGADA AL SALVADOR
  • Consideraciones a la 4ª Brigada Urológica a Oaxaca (México) (diciembre-2023)
  • Proyecto M2: Telescopio Euclid
  • “San Alonso de Orozco: culto, historia y arte”
  • Comunicación de la obra pictórica: galerías, exposiciones y redes sociales
febrero 2021
S D L M X J V
 12345
6789101112
13141516171819
20212223242526
2728  
« Ene   Mar »

Categorías

Estadísticas del sitio

  • 367.872 hits

Entradas recientes

  • BRIGADA AL SALVADOR
  • Consideraciones a la 4ª Brigada Urológica a Oaxaca (México) (diciembre-2023)
  • Proyecto M2: Telescopio Euclid
  • “San Alonso de Orozco: culto, historia y arte”
  • Comunicación de la obra pictórica: galerías, exposiciones y redes sociales

Enter your email address to follow this blog and receive notifications of new posts by email.

febrero 2021
S D L M X J V
 12345
6789101112
13141516171819
20212223242526
2728  
« Ene   Mar »

Páginas

  • Perfil

Categorías

Meta

  • Crear cuenta
  • Iniciar sesión
  • Feed de entradas
  • Feed de comentarios
  • WordPress.com

Crea un blog o una web gratis con WordPress.com.

Privacidad y cookies: este sitio utiliza cookies. Al continuar utilizando esta web, aceptas su uso.
Para obtener más información, incluido cómo controlar las cookies, consulta aquí: Política de cookies
  • Suscribirse Suscrito
    • Blog de José Félix Rodríguez Antón
    • Únete a otros 205 suscriptores
    • ¿Ya tienes una cuenta de WordPress.com? Inicia sesión.
    • Blog de José Félix Rodríguez Antón
    • Suscribirse Suscrito
    • Regístrate
    • Iniciar sesión
    • Denunciar este contenido
    • Ver el sitio en el Lector
    • Gestionar las suscripciones
    • Contraer esta barra
 

Cargando comentarios...